Close
fig. 4
Videos
Close
fig. 4 - Train Brain
Sadder Than You - Fig.4
fig. 4 (runaway solo demonstration)
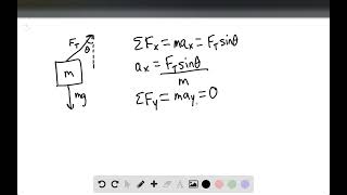
A crane's trolley at point P in Fig 4 63 moves for a few seconds to the right with constant acceler
Connemara Set Fig 4
Cashel Set Fig 4
Mazurka Set Fig 4
Download SoundHound
The only App that can give you results through singing and humming search!
Available here: